HUB
Collections
Classifications
About
App
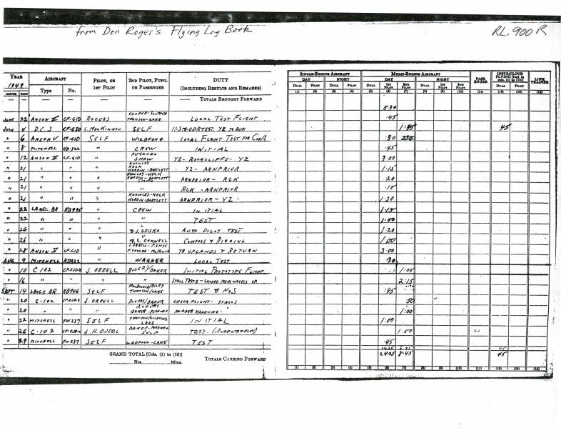
Don Rogers Flying Log Book
Archive
-
AVRO Museum
Name/Title
Don Rogers Flying Log Book
Entry/Object ID
1933
Category
Document - other
Archive Items Details
Description
Partial log book entries from 1949 to 1956
Web Links and URLs
Research Tips & Terms of Use
General Notes
Note
Date / Time Period: 1956 Pages: 4 Author: Don Rogers