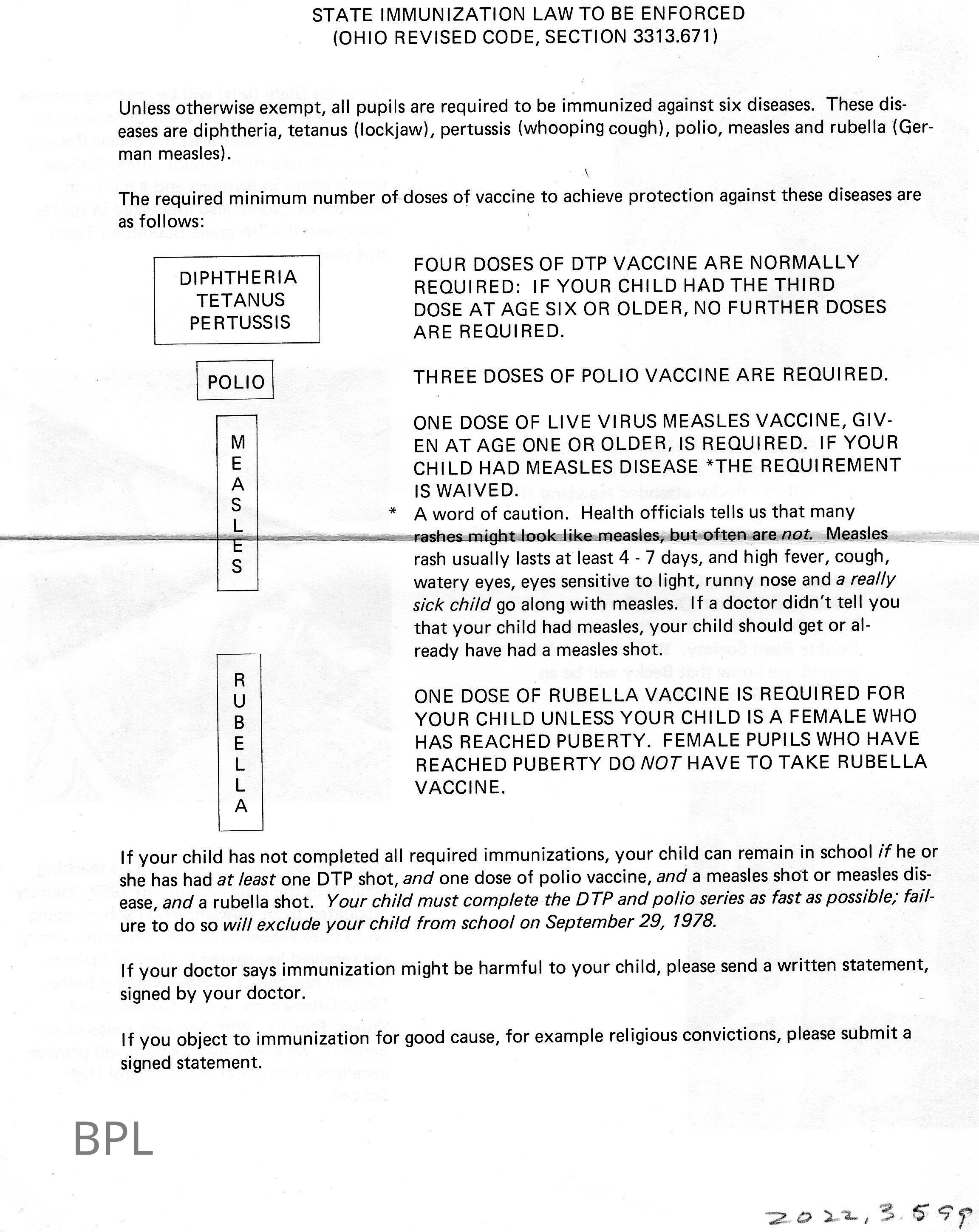
Flyer, Bristol School, 1978

Name/Title

Flyer, Bristol School, 1978

Entry/Object ID

2022.3.599

Tags

1970,s

Scope and Content

Flyer Bristol School for New Teachers Information, August 1978 and Immunization Laws

Cataloged By

Seemann, Kathleen M.

Acquisition

Accession

2022.3

Archive Details

Date(s) of Creation

1978

Location

Location

* Untyped Location

School Box 2

Date

April 24, 2023

Notes

Folder: School Material 1855-1979

Relationships

Related Person or Organization

Person or Organization

Bristol School, Diehl, John, Bickle, Rebecca, Kincaid, Tamara