Facsimile regarding Ola I Ke Kai O Kanaloa Kaho'olawe Ocean Management Plan

DKOMP_Comments_Phillips(NOAA) pg 1: Origsize: 8.5" x 11"; Origformat: Document; Resolution: 150 dpi
DKOMP_Comments_Phillips(NOAA) pg 1

Origsize: 8.5" x 11"; Origformat: Document; Resolution: 150 dpi

Name/Title

Facsimile regarding Ola I Ke Kai O Kanaloa Kaho'olawe Ocean Management Plan

Entry/Object ID

2011.011.52

Scope and Content

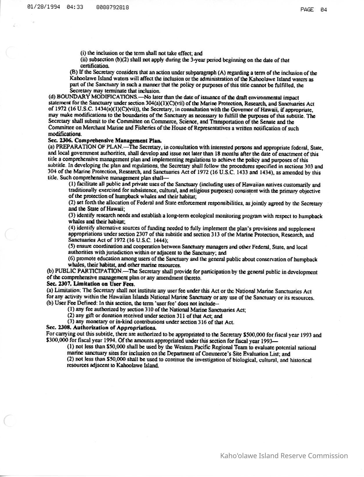
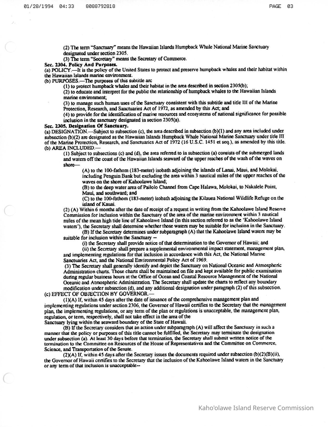
Faxed copy of Ola I Ke Kai O Kanaloa, Kahoolawe Ocean Management Plan, Comments by Brady Phillips NOAA-SRD. Appendix A, Hawaiian Islands Humpback Whale National Marine Sanctuary Act, Subtitle C of Public Law 102-587, as amended by P.L. 104-283, also attached. Excerpt: "In general, the draft plan does not go into much specific details about how the KIRC intends to manage its resources. I would recommend that they either start developing more specific goals and objectives to reach those goals or develop more specific work plans in the future."

Collection

KIRC Administration

Cataloged By

Gavagan,Terri

Lexicon

Nomenclature 4.0

Nomenclature Secondary Object Term

Facsimile

Nomenclature Primary Object Term

Reproduction

Nomenclature Sub-Class

Other Documents

Nomenclature Class

Documentary Objects

Nomenclature Category

Category 08: Communication Objects

LOC Thesaurus for Graphic Materials

Administrative agencies, Plans, Public opinion

Search Terms

Marine, Fishing, administrative records, marine resources, management plans, Ola I Ke Kai O Kanaloa, comments, public, resource management

Archive Items Details

Title

Facsimile regarding Ola I Ke Kai O Kanaloa Kaho'olawe Ocean Management Plan

Description

Faxed copy of Ola I Ke Kai O Kanaloa, Kahoolawe Ocean Management Plan, Comments by Brady Phillips NOAA-SRD. 4 faxed pages.

Creator

Phillips, Brady

Date(s) of Creation

Jan 28, 1994

Container

Folder 65

Subjects

Administrative agencies, Plans, Public opinion

Search Terms

marine resources, resource management

Notes

Date(s): 1/28/1994 Appraisal: Document to be held permanently in the KIRC Archive. Archivist: Gavagan, Terri Archivist's Notes: Contents removed from original binder, placed in acid-free, archival folder with acid-free paper separating documents which were not originally stapled or clipped together. Copies: PDF/A copy:\\KIRC-LIB-01\Library Database\Virtual Archive\Marine\PublComm_DKOMP_acc\Comments\Phillips_NOAA_19940128 Access image:\\KIRC-LIB-01\Library Database\Virtual Archive\Marine\PublComm_DKOMP_acc\Comments\Phillips_NOAA_19940128 Master image: \\KIRC-LIB-01\Library Database\Virtual Archive\Marine\PublComm_DKOMP_mstr\Comments\Phillips_19940128 Date of Description: 4/8/2015; 8/9/2022 Level of Description: Item Reference Code: US KIRC KI AD Box 1 Folder 65 System of Arrangement: Documents arranged in original order found in original binder; acid-free paper placed between documents which were not originally stapled or clipped together. Location: Archive Rm 1, Case 6, Shelf B Container: KI AD Box 1

Relationships

Related Person or Organization

Person or Organization

Phillips, Brady

Copyright

Notes

Copies may be obtained from this repository. Search fee and reproduction costs may be assessed.