Notice of Conference Committee Meeting

Notice of Conference Committee Meeting: Origsize: 8.5" x 11"; Origformat: Document; Resolution: 150 dpi
Notice of Conference Committee Meeting

Origsize: 8.5" x 11"; Origformat: Document; Resolution: 150 dpi

Name/Title

Notice of Conference Committee Meeting

Entry/Object ID

2014.012.42

Scope and Content

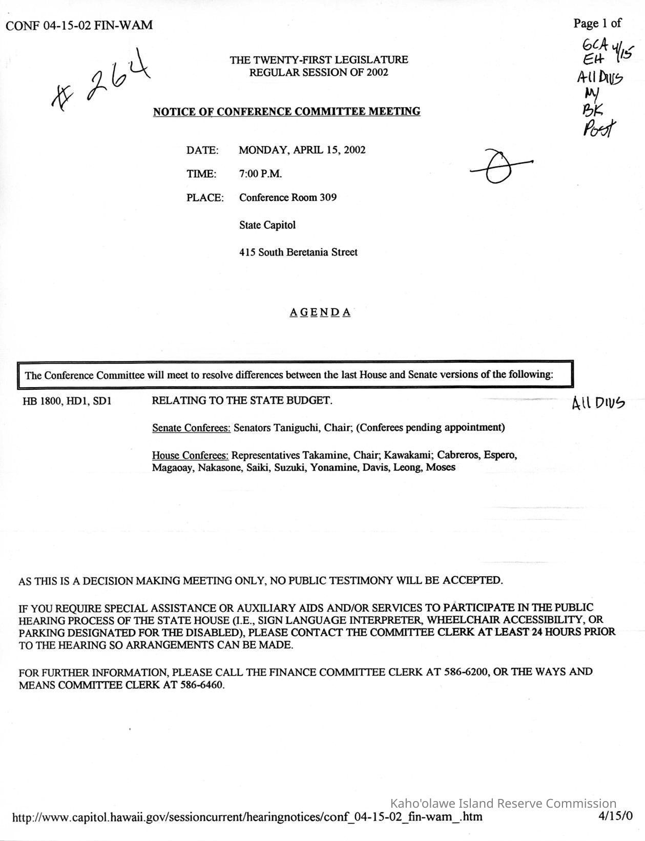
The Twenty-First Legislature, Regular Session of 2002, Notice of Conference Committee Meeting for Monday, April 15, 2002. Downloaded and printed from Hawaii State Legislature website, www.capitol. hawaii.gov on April 15, 2002. HB (House Bill) 1800, HD (House Draft) 1, SD (Senate Draft) 1 Relating to the State Budget, on agenda to resolve differences between House and Senate versions of the bill.

Collection

KIRC Administration

Cataloged By

Gavagan,Terri

Lexicon

Nomenclature 4.0

Nomenclature Primary Object Term

Agenda

Nomenclature Sub-Class

Administrative Records

Nomenclature Class

Documentary Objects

Nomenclature Category

Category 08: Communication Objects

LOC Thesaurus for Graphic Materials

Committees, Legislative bodies, Meetings, Money

Search Terms

Administrative Records, Legislative, Legislature, administrative records, funding, legislature

Archive Items Details

Title

Notice of Conference Committee Meeting

Description

The Twenty-First Legislature, Regular Session of 2002, Notice of Conference Committee Meeting for Monday, April 15, 2002.

Date(s) of Creation

Apr 15, 2002

Container

Folder 4

Subjects

Legislative bodies, Committees, Meetings

Notes

Location: Archive Rm 1, Case 1, Shelf E Container: CF Box 9

Copyright

Notes

Copies may be obtained from this repository. Search fee and reproduction costs may be assessed.