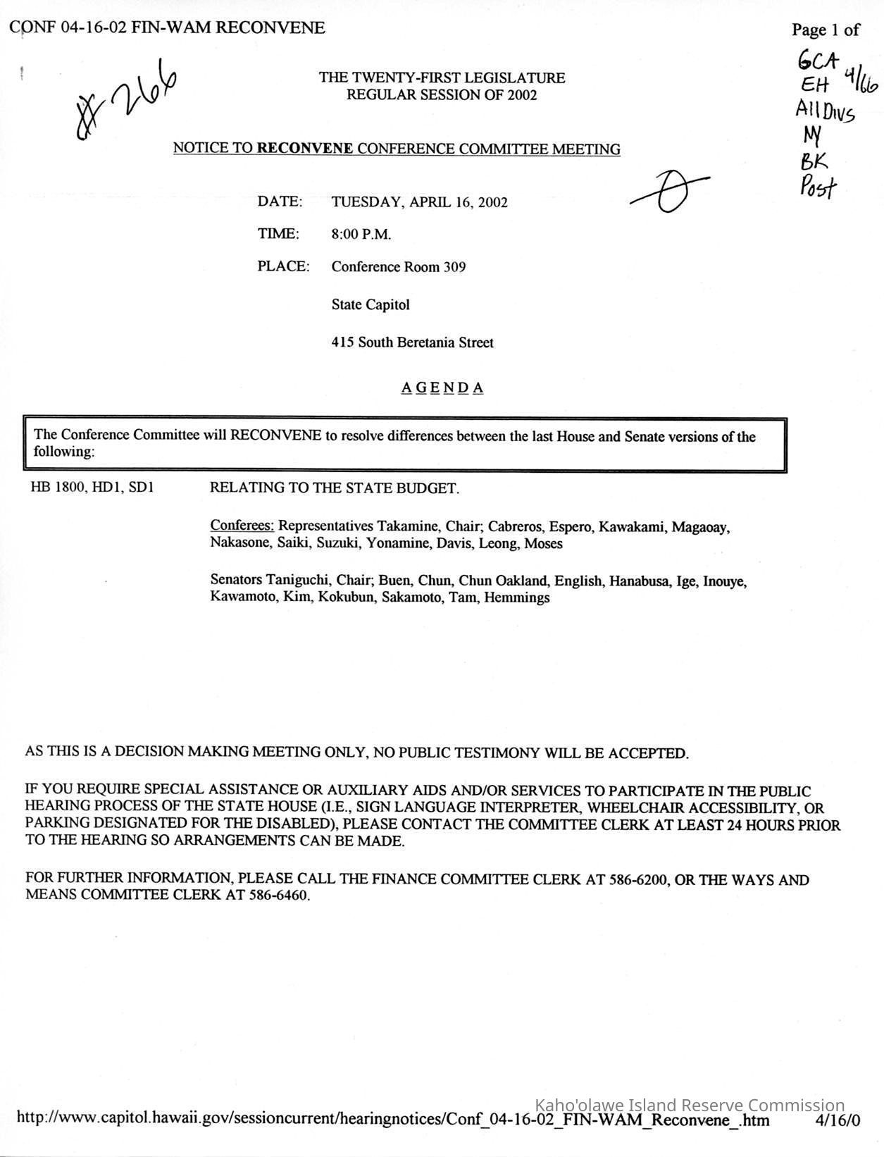
Notice to Recovene Conference Committee Meeting

Notice to Reconvene-Conference Committee: Origsize: 8.5" x 11"; Origformat: Document; Resolution: 150 dpi
Notice to Reconvene-Conference Committee

Origsize: 8.5" x 11"; Origformat: Document; Resolution: 150 dpi

Name/Title

Notice to Recovene Conference Committee Meeting

Entry/Object ID

2014.012.41

Scope and Content

The Twenty-First Legislature, Regular Session of 2002, Notice to Reconvene Conference Committee Meeting, downloaded & printed from Hawaii Sate Legislature website, www.capitol.hawaii.gov on April 16, 2002. HB (House Bill) 1800, HD (House Draft) 1, SD (Senate Draft) 1 Relating to the State Budget, on agenda to resolve differences between House and Senate versions of the bill.

Collection

KIRC Administration

Cataloged By

Gavagan,Terri

Lexicon

Nomenclature 4.0

Nomenclature Primary Object Term

Agenda

Nomenclature Sub-Class

Administrative Records

Nomenclature Class

Documentary Objects

Nomenclature Category

Category 08: Communication Objects

LOC Thesaurus for Graphic Materials

Legislative bodies, Committees

Search Terms

Administrative Records, Legislature, administrative records, legislature, funding

Archive Items Details

Title

Notice to Reconvene Conference Committee Meeting

Description

The Twenty-First Legislature, Regular Session of 2002, Notice to Reconvene Conference Committee Meeting

Date(s) of Creation

Apr 16, 2002

Container

Folder 4

Subjects

Committees, Money

Search Terms

Legislature

Notes

Location: Archive Rm 1, Case 1, Shelf E Container: CF Box 9

Copyright

Notes

Copies may be obtained from this repository. Search fee and reproduction costs may be assessed.