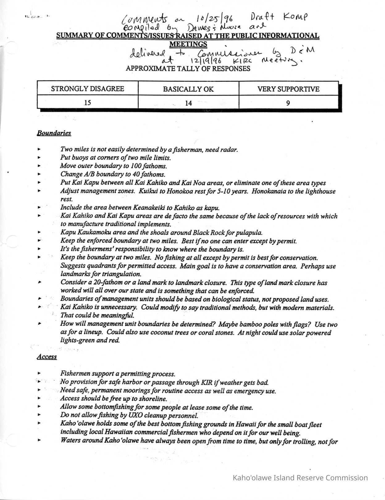
Summary of Comments/Issues Raised at the Public Informational Meetings

Comments Summary for DKOMP-10/26/96_1: Origsize: 8.5" x 11"; Origformat: Document; Resolution: 150 dpi
Comments Summary for DKOMP-10/26/96_1

Origsize: 8.5" x 11"; Origformat: Document; Resolution: 150 dpi

Name/Title

Summary of Comments/Issues Raised at the Public Informational Meetings

Entry/Object ID

2011.011.9

Scope and Content

Summary of comments/issues raised at the public informational meetings. Handwritten notation states these are comments on 10/25/1996 Draft KOMP compiled by Dames & Moore and delivered to the Commission by D&M (Dames & Moore) at the 12/19/96 KIRC meeting. Contains approximate tally of responses and comments under the headings of: boundaries, access, biological sustainability, protected species, native rights, cultural perspective, public use, community support, enforcement and general management.

Collection

KIRC Administration

Cataloged By

Gavagan,Terri

Lexicon

Nomenclature 4.0

Nomenclature Primary Object Term

List

Nomenclature Sub-Class

Other Documents

Nomenclature Class

Documentary Objects

Nomenclature Category

Category 08: Communication Objects

Archive Items Details

Title

Summary of Comments/Issues Raised at the Public Informational Meetings

Container

Folder 64

Notes

Location: Archive Rm 1, Case 6, Shelf B Container: KI AD Box 1

Other Names and Numbers

Other Numbers

Number Type

Other Number

Other Number

KI AD Box 1, Fldr 64

Copyright

Notes

Copies are available from this repository.Research fee and reproduction costs may be assessed.