Conveyances in Rapides Parish 1905-1915

Page 1

Page 1

Name/Title

Conveyances in Rapides Parish 1905-1915

Entry/Object ID

2020.1.258

Tags

Library, Public, Crowell Lumber Co.s, Conveyance

Scope and Content

Conveyances in Rapides Parish 1905-1915

Collection

Crowell Lumber Companies Collections

Acquisition

Accession

2020.1

Acquisition Method

Research

Credit Line

*title of entry*, Southern Forest Heritage Museum Collection, *Accession Number*, *Exhibition Title (if it's in an exhibit)*, Southern Forest Heritage Museum, Long Leaf, LA.

Archive Details

Date(s) Material Assembled

1905 - 1915

Archive Size/Extent

17.5 MB

Primary Language

English

Archive Items Details

Title

Conveyances in Rapides Parish 1905-1915

Description

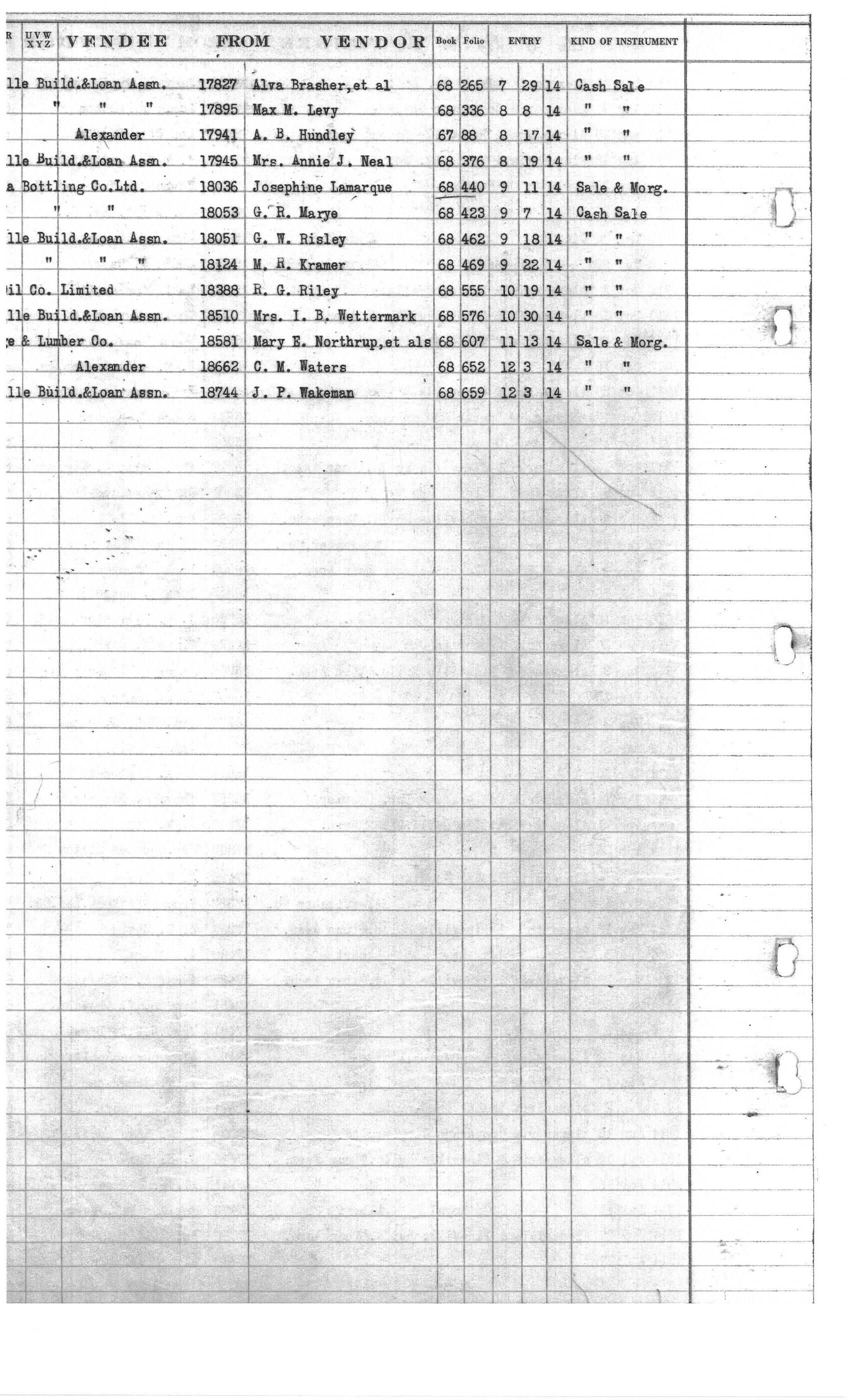
1-; 2-Alexandria Lumber Co. 4 cash sales to O. M. Cox, Clinton Snowden, Jefferson Vandewater and A. R. Choppin, 3 sales to James Craig , J. P. Miller, and Ed. rand Lumber Co., sale and mortgage to Ed. Rand. Lumber Co., partition to G. H. Harris, timber deed to Joe Murry; Albert Hanson Lumber Co. cash sale to W. W. Whittington; Alexandria Naval Stores Co. charter; 3-Alexandria Lumber Co. 3 cash sales to Geo. A. Wise, P. H. Branton and S. T. Cannon; 4-Alexandria Lumber Co. 2 right of ways to Wm. Wilson and A. H. Harris, Q/claim to Lee Lumber Co., 16 cash sales to A. J. Nations, Cad Chevallier, 2 to C. C. Crooks, Martha J. Henderson, E. J. Iles, Joseph Craig, W. E. Borland, D. Humbees, R. O. Brown, J. A. Brown, 2 to Geo. H. McKnightsale, E. A. Deloach, R. W. White, sale to W. M. Cady, and timber deed B. Frank Kees; Alexandria Lumber, Coal & Grain Co. charter;5-Alexandria Lumber Co. 2 cash sales to T. J. Crawford, Andrew Jackson; Alexandria Lumber, Coal & Grain Co. 3 cash sales to John Williford, W. B. Wright, Jonas Reese, sale and mortgage to Lee St. Land Co.; 6-Alexandria Lumber, Coal & Grain 2 sale and mortgages to Allan B. Pendleton and Fannie Clements; Alexandria Lumber Co. sale to W. D. Bradford, 4 cash sales L. D. Wilson, Liza Guillory, Bob Hathorn, F. Giauque, exchange to Gabriel Bobeuof; 7-Alexandria Lumber Co. exchange to Lee Lumber Co., 2 cash sales to Thos. J. Barrett and W. E. Wilson; 8-;9-Alexandria Lumber Co. sale to Mary C. Hayden, cash sale to Jesse J. Mercer, O. M. Cox, Chas. B. Hoft, exchange to Caddo-Rapides Lumber Co., sale and mortgage to Crowell & Spencer Lumber Co. ; 10-Alexandria Cooperage & Lumber Co. sale and mortgage to Mary E. Northup

Date(s) of Creation

1905 - 1915

Other Names and Numbers

Other Name

MX-3610N_20150302_130145_001 (thru) 020

Other Numbers

Number Type

Drive

Other Number

SFHM.C&S.2020.Drive.008

Notes

In folders Conveyances into Alexandria Lumber, Rapides 2 or Rapides Index

Parts

Count

20

Parts

10 pages but were in legal size paper, so split