Profile, City of Waupun Wisconsin

 Business Welcome from City of Waupun

Business Welcome from City of Waupun

Name/Title

Profile, City of Waupun Wisconsin

Entry/Object ID

2016.0086.0001

Scope and Content

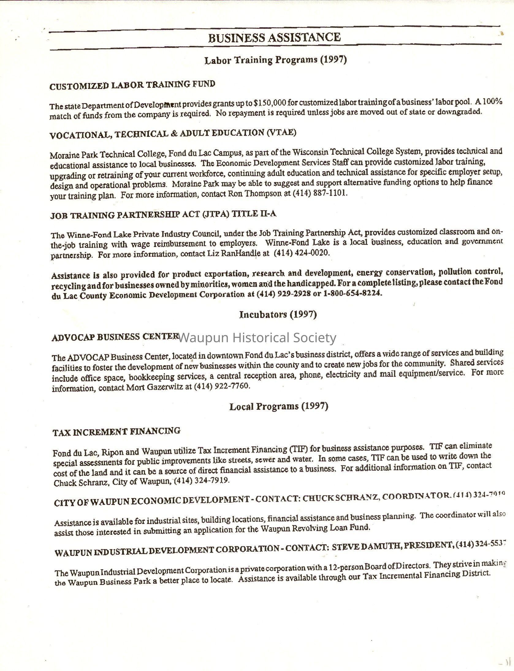
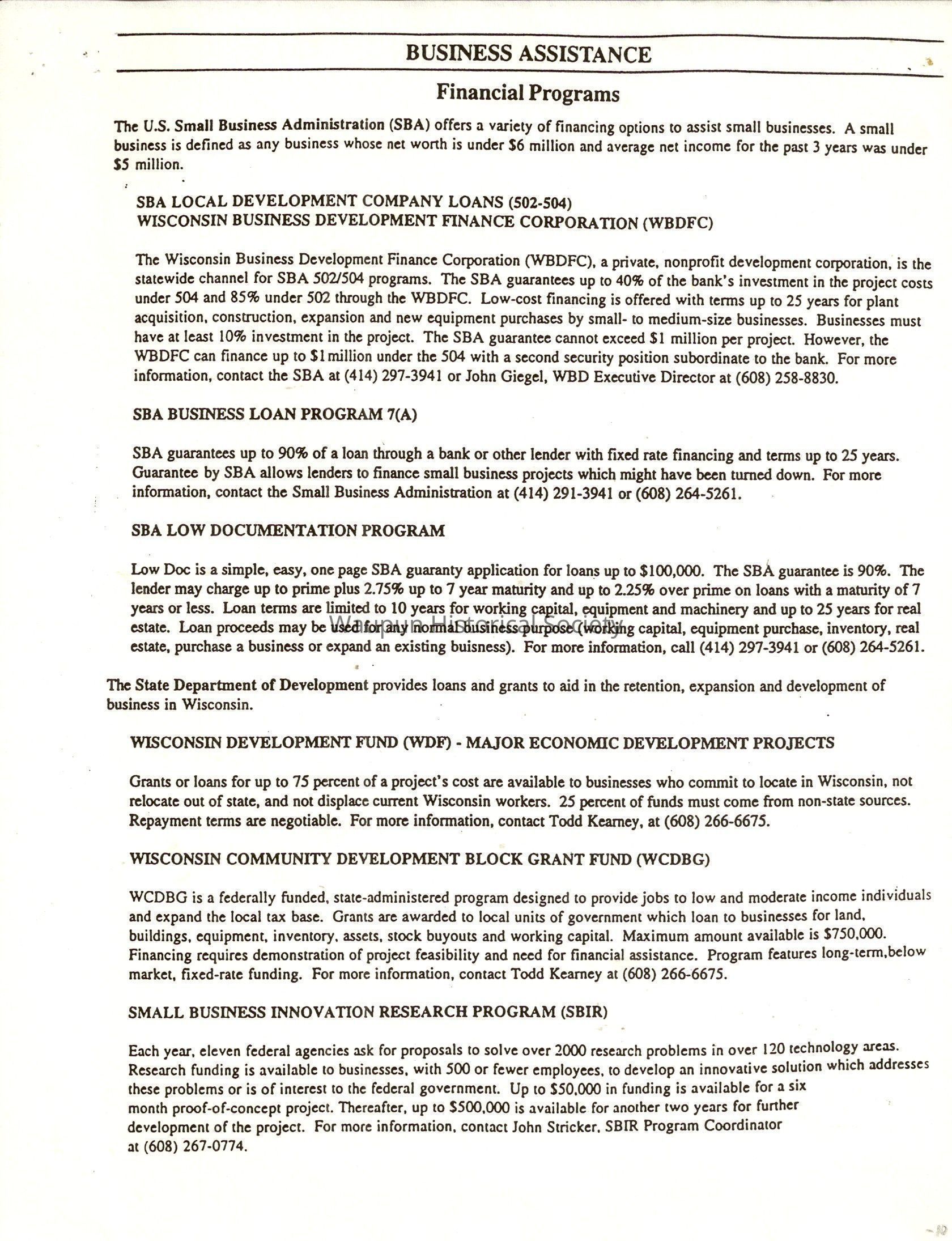
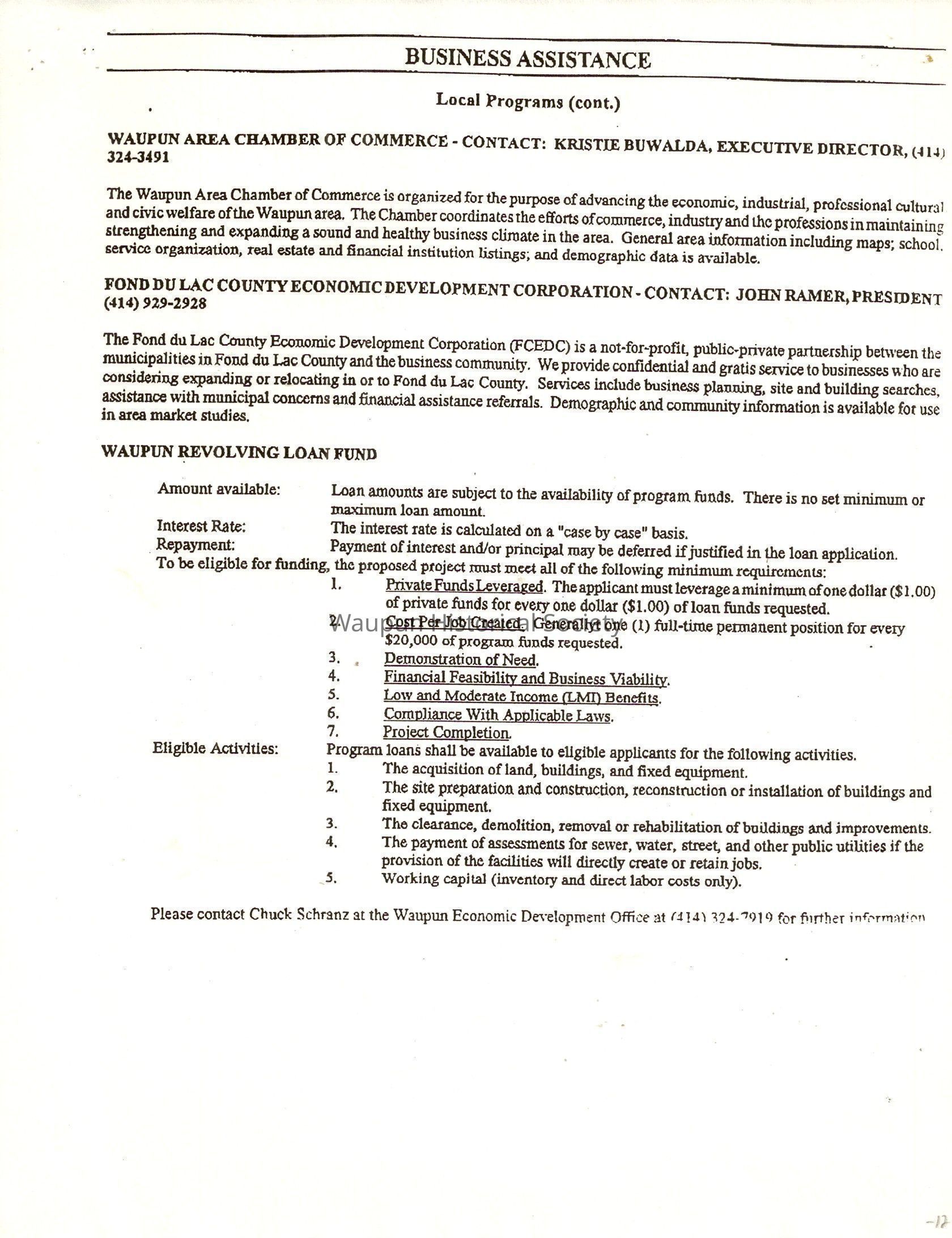
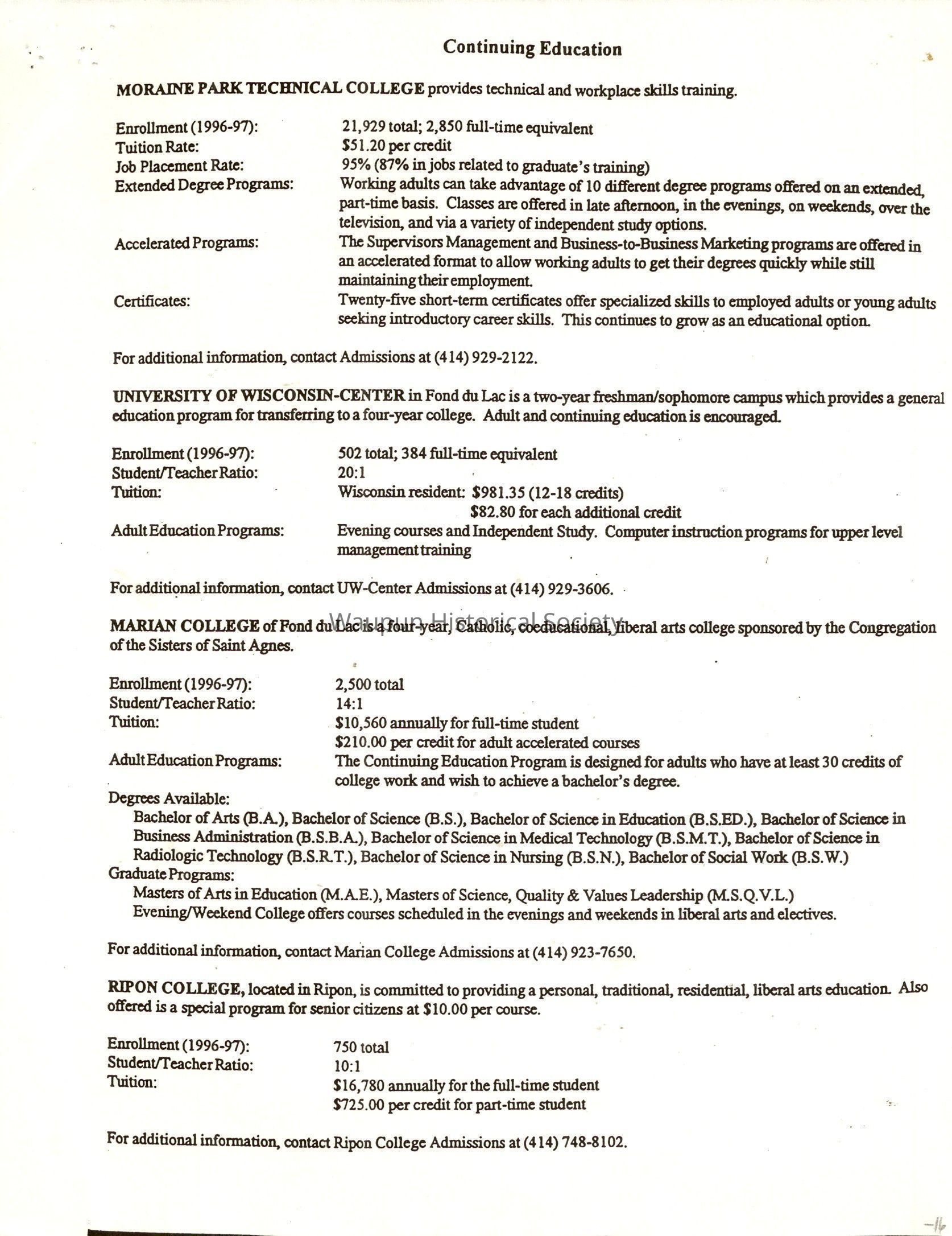
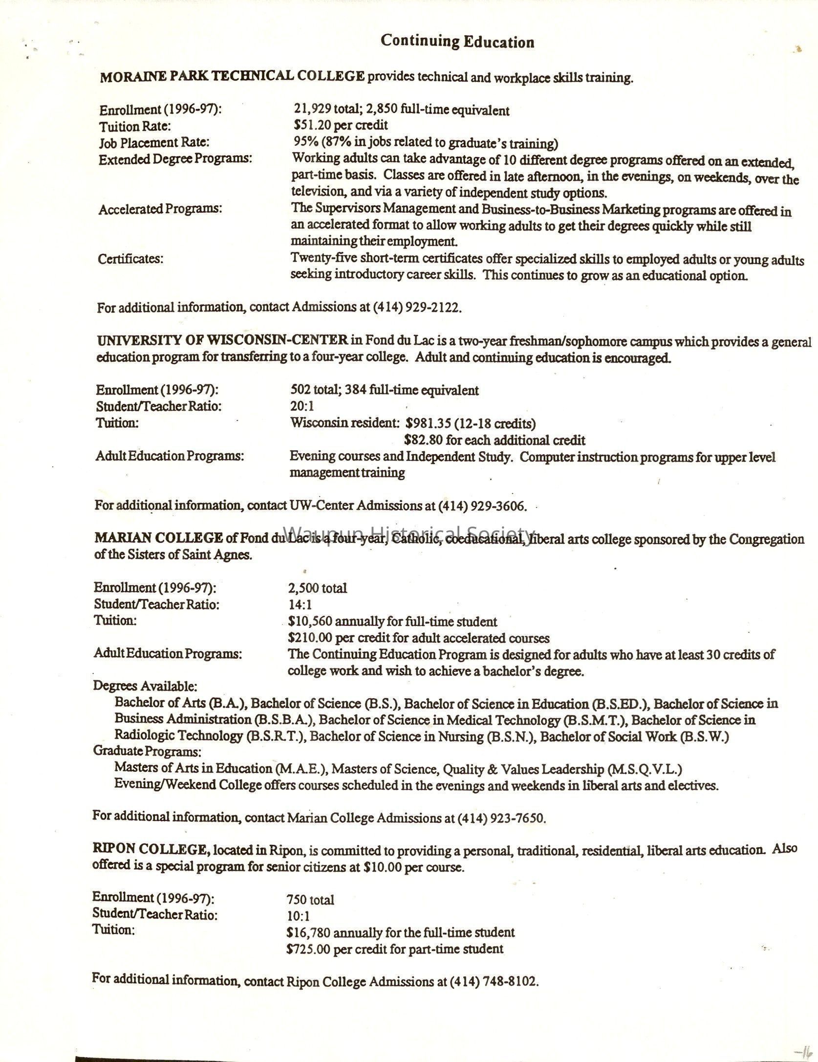
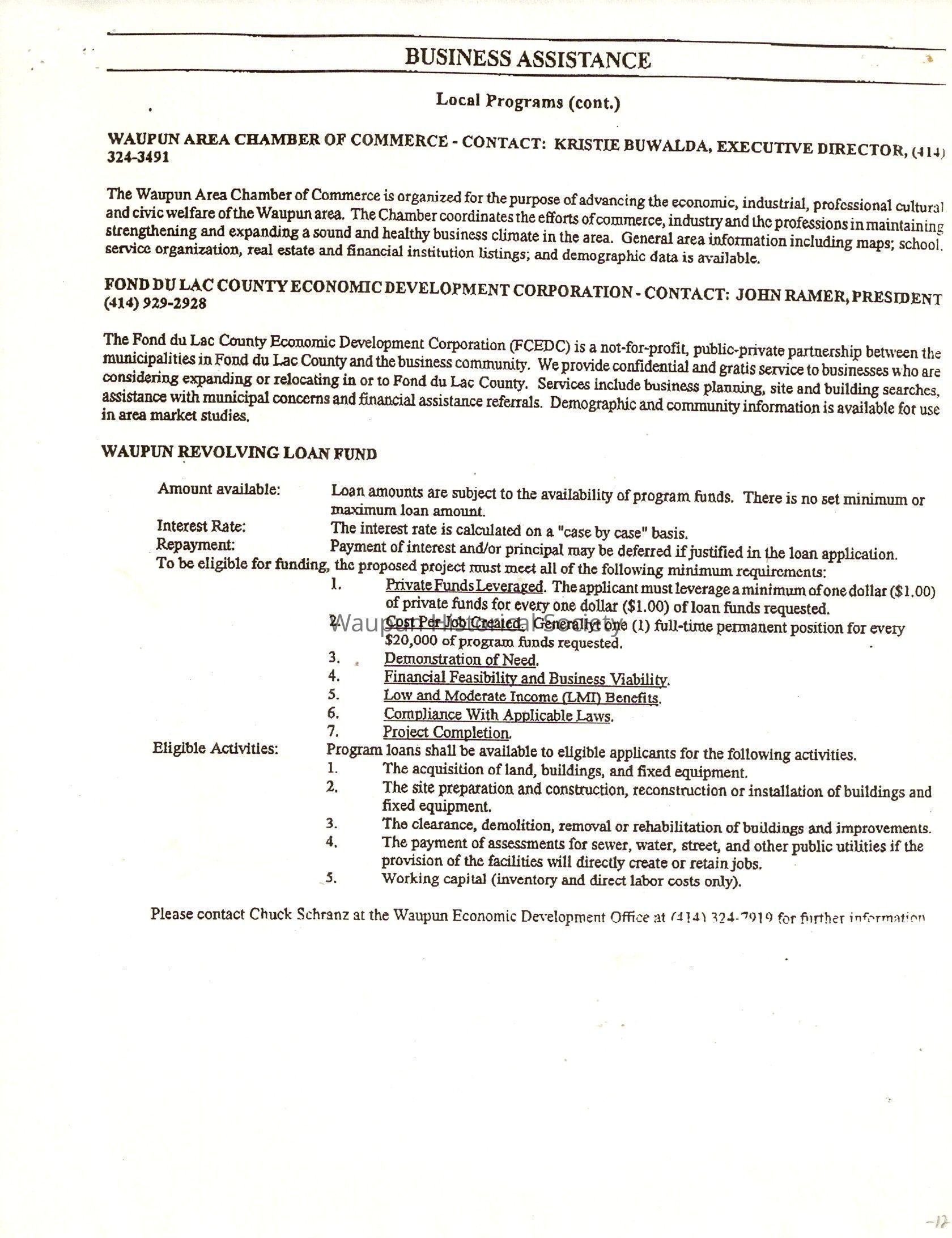
Seventeen page document compiled by Charles Schranz in 1997 to welcome business to Waupun. Black print on 8.5 x 11 paper with greeting and contact information on the front page. Included are maps of areas of interest to a new business, transportation options, local utilities, forms of communications, demographics, population and labor market. Current employers and government offices, the tax climate of the area and Business assistance and incentives information. Housing, health, education and a look at the crime index of Waupun and the surrounding area are also included.

Acquisition

Accession

2016.0086

Source or Donor

Waupun Historical Society

Acquisition Method

Collected by Staff