1995-2002 Session Minutes

Name/Title

1995-2002 Session Minutes

Scope and Content

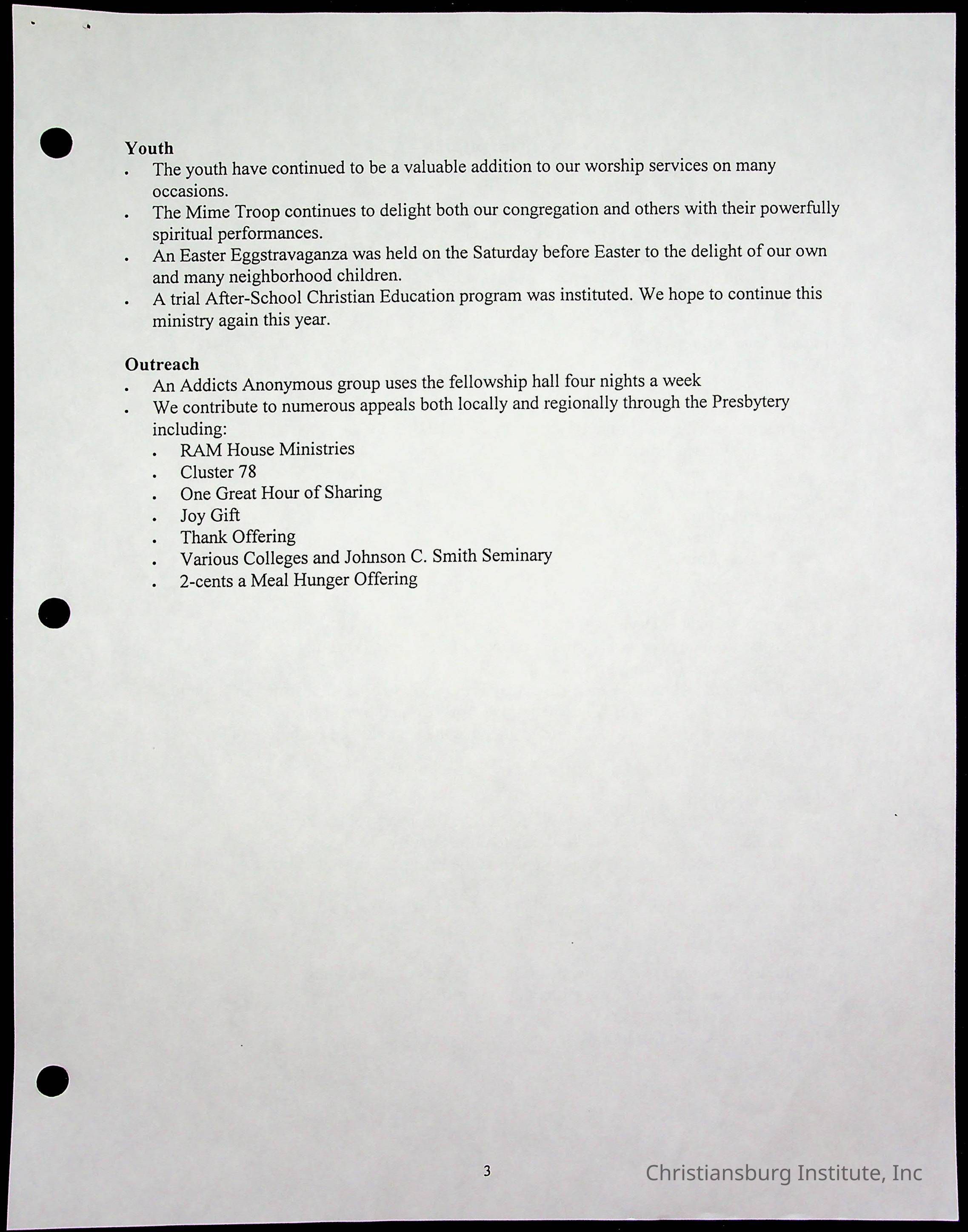
The session minutes for the Fifth Avenue Presbyterian Church from the years 1995-2002.

Collection

Fifth Avenue Presbyterian Church

Category

Administrative Record

Acquisition

Source (if not Accessioned)

Fifth Avenue Presbyterian Church

Archive Details

Creator

Fifth Avenue Presbyterian Church

Date(s) of Creation

1995 - 2002

Primary Language

English

Relationships

Related Person or Organization

Person or Organization

Fifth Avenue Presbyterian Church

Related Places

Place

City

Roanoke, Virginia

Continent

North America

Copyright

Copyright Details

Copyright has been assigned to Christiansburg Institute Museum & Archives by Fifth Avenue Presbyterian Church. For permission to publish materials created by the donor, contact CIMA@christiansburginstitute.com. Materials not created by Fifth Avenue Presbyterian Church may still be under copyright.