HUB
Collections
Classifications
About
App
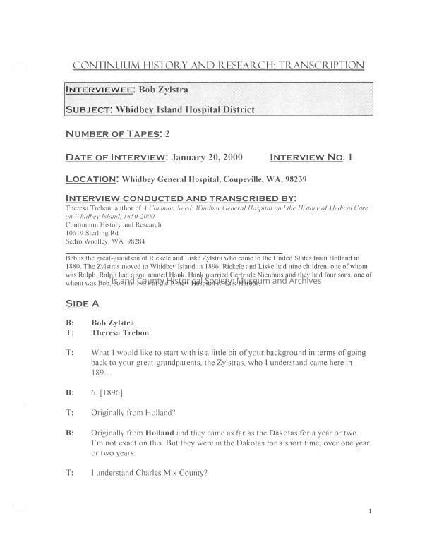
Bob Zylstra Oral History
Oral History
-
Island County Historical Society
Name/Title
Bob Zylstra Oral History
Entry/Object ID
T2025.1.002
Scope and Content
Click on the image to get the full transcript.
Category
Oral History
Lexicon
Nomenclature 4.0
Nomenclature Primary Object Term
History
Nomenclature Sub-Class
Literary Works
Nomenclature Class
Documentary Objects
Nomenclature Category
Category 08: Communication Objects
Oral History Details
Interviewee
Zylstra, Bob
Interviewer
Theresa Trebon
Interview Date
Jan 20, 2000
Interview Place
City
Coupeville
County
Island County
State/Province
Washington
Region
Cascades and Plateau,
Whidbey Island
Continent
North America
Recording Media
Cassette Recording
Transcriber
Theresa Trebon
Archive Items Details
Title
Bob Zylstra Oral History
Description
Part of Theresa Trebon's Continuum History and Research
Creator
Theresa Trebon
Date(s) of Creation
Jan 20, 2000
Subjects
Hospitals,
Maternity hospitals